Bem-vindo à Shandong Junzheng Chemical Technology Co., Ltd.
Produtos
Navegação
Envie-nos uma mensagem
O dextrano é usado na forma de esferas para auxiliar em aplicações de biorreatores, em algumas matrizes de cromatografia de exclusão por tamanho e em estudos da técnica de estresse osmótico envolvendo moléculas biológicas. Pode ser usado como revestimento estabilizante para proteger nanopartículas metálicas contra a oxidação.
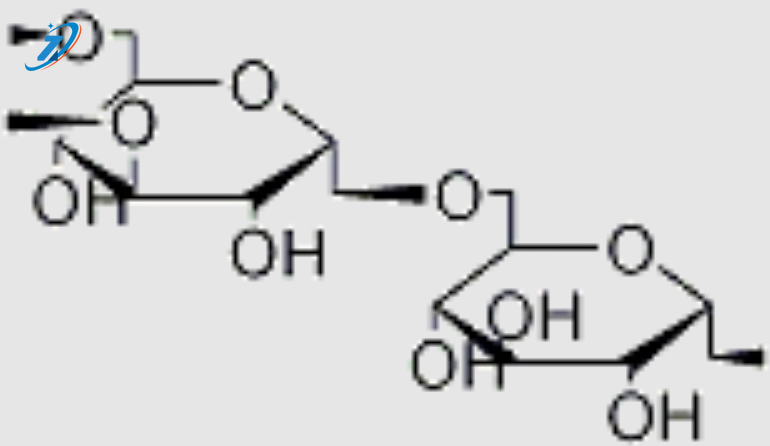
Os dextranos são polissacarídeos de glicose de cadeia longa com várias massas moleculares relativas. O Dextrano 70 (massa molecular relativa 70 000) é retido no espaço intravascular onde, como a albumina, contribui para a pressão oncótica coloidal do plasma. Ao contrário da albumina, o dextrano 70, quando administrado em grandes quantidades, previne a agregação plaquetária e facilita a fibrinólise.
Informações de segurança
Uso do produto
O dextrano é um polissacarídeo natural produzido por fermentação microbiana e é amplamente utilizado nas indústrias farmacêutica, alimentícia e cosmética. Na indústria farmacêutica, é comumente usado como expansor do volume plasmático e carreador de fármacos, ajudando a melhorar a microcirculação e aumentar a estabilidade dos medicamentos. Na indústria alimentícia, o dextrano atua como espessante, estabilizante e agente de retenção de umidade, melhorando a textura e a sensação na boca. Em cosméticos, oferece excelentes propriedades hidratantes e formadoras de filme, ajudando a fortalecer a barreira cutânea e aumentar a hidratação. É amplamente utilizado em formulações como loções, cremes e séruns.
Prazo de Entrega
Estoque 2-3 dias úteis Nova fabricação 7-10 dias úteis
Modo de Transporte
1. Por via aérea, rápido mas caro.
2. Por via marítima, comum e econômico.
3. Por comboio, adequado para países da Ásia Central.
4. Por entrega expressa, adequado para pequenos pacotes.
Fornecemos apenas produtos da mais alta qualidade disponíveis, acompanhados de suporte pós-venda!
P1: Os Seus Produtos Estão Em Conformidade Com As Normas Internacionais?
R1: Sim, a nossa empresa possui várias certificações essenciais reconhecidas internacionalmente. Todas as atividades de produção e operação seguem rigorosamente as normas internacionais de ambiente, segurança e qualidade, e cada lote de produtos é acompanhado por um relatório de teste de conformidade para cumprir os requisitos da indústria química em diferentes regiões do mundo.
P2: Vocês Fornecem Serviços de Personalização de Produtos?
R2: Sim, temos uma equipa profissional de I&D e uma capacidade de produção refinada. Podemos personalizar produtos químicos de diferentes especificações e desempenhos de acordo com as necessidades específicas dos clientes, e fornecer suporte técnico durante todo o processo para satisfazer as necessidades de aplicação personalizadas das indústrias a jusante.
P3: Qual É O Ciclo de Entrega Aproximado Dos Produtos?
R3: O ciclo de entrega varia de acordo com o tipo de produto, a quantidade da encomenda e o destino. Dispomos de um sistema completo de cadeia de abastecimento global para garantir uma entrega rápida e segura das mercadorias. Para o prazo específico, pode consultar a nossa equipa de vendas para obter informações detalhadas.
P4: Como Obter Amostras de Produtos?
R4: Pode contactar o nosso serviço de apoio ao cliente ou a nossa equipa de vendas para especificar o modelo e a especificação exatos das amostras necessárias. Forneceremos amostras gratuitas de acordo com a situação real, e a taxa de envio expresso das amostras pode ser negociada.


